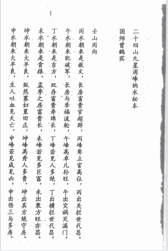
二十四山