《秘传图注龙经全集》影钞明万历刊本
2023-02-23 14:12:27 风水堪舆
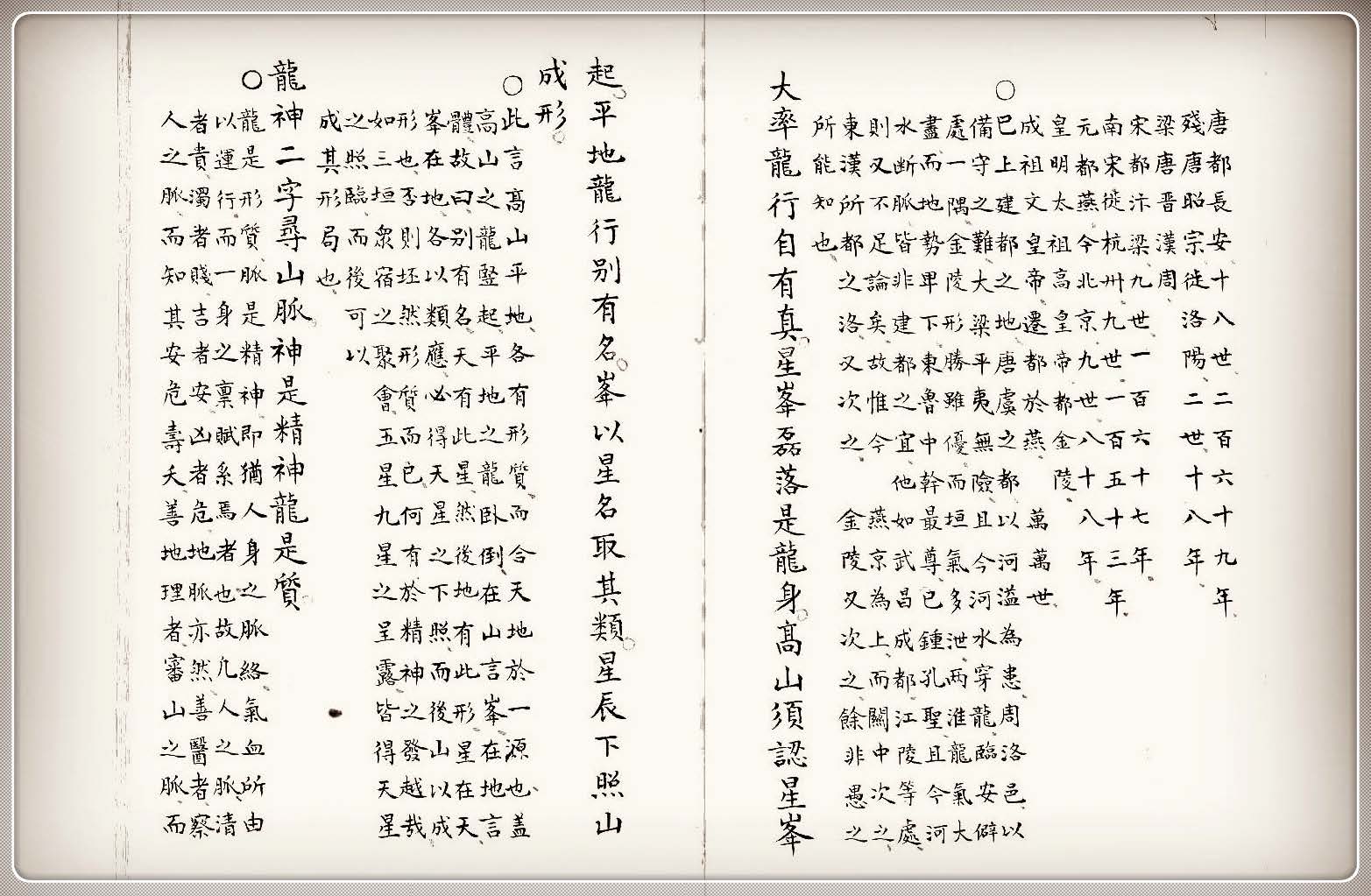
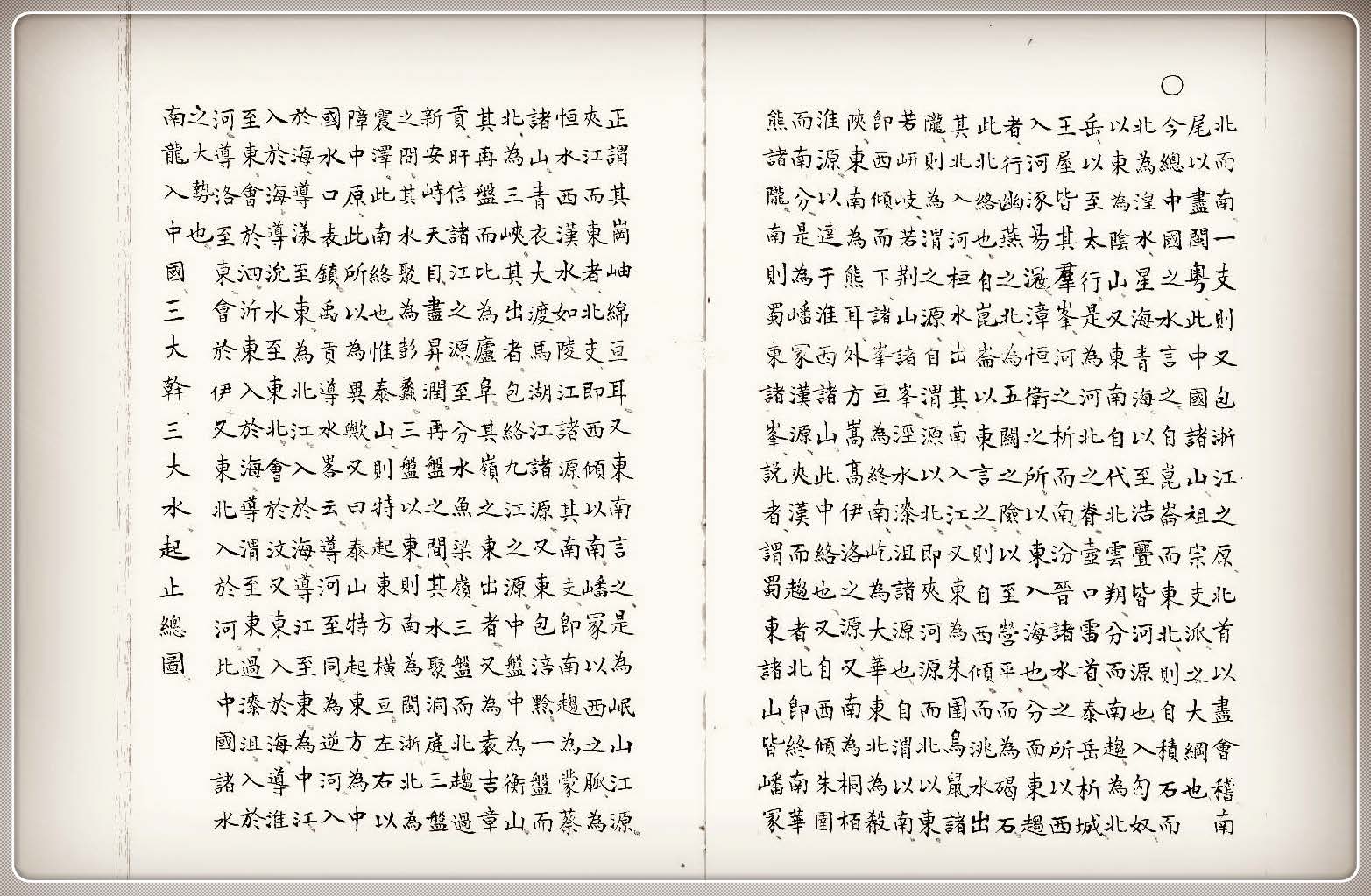
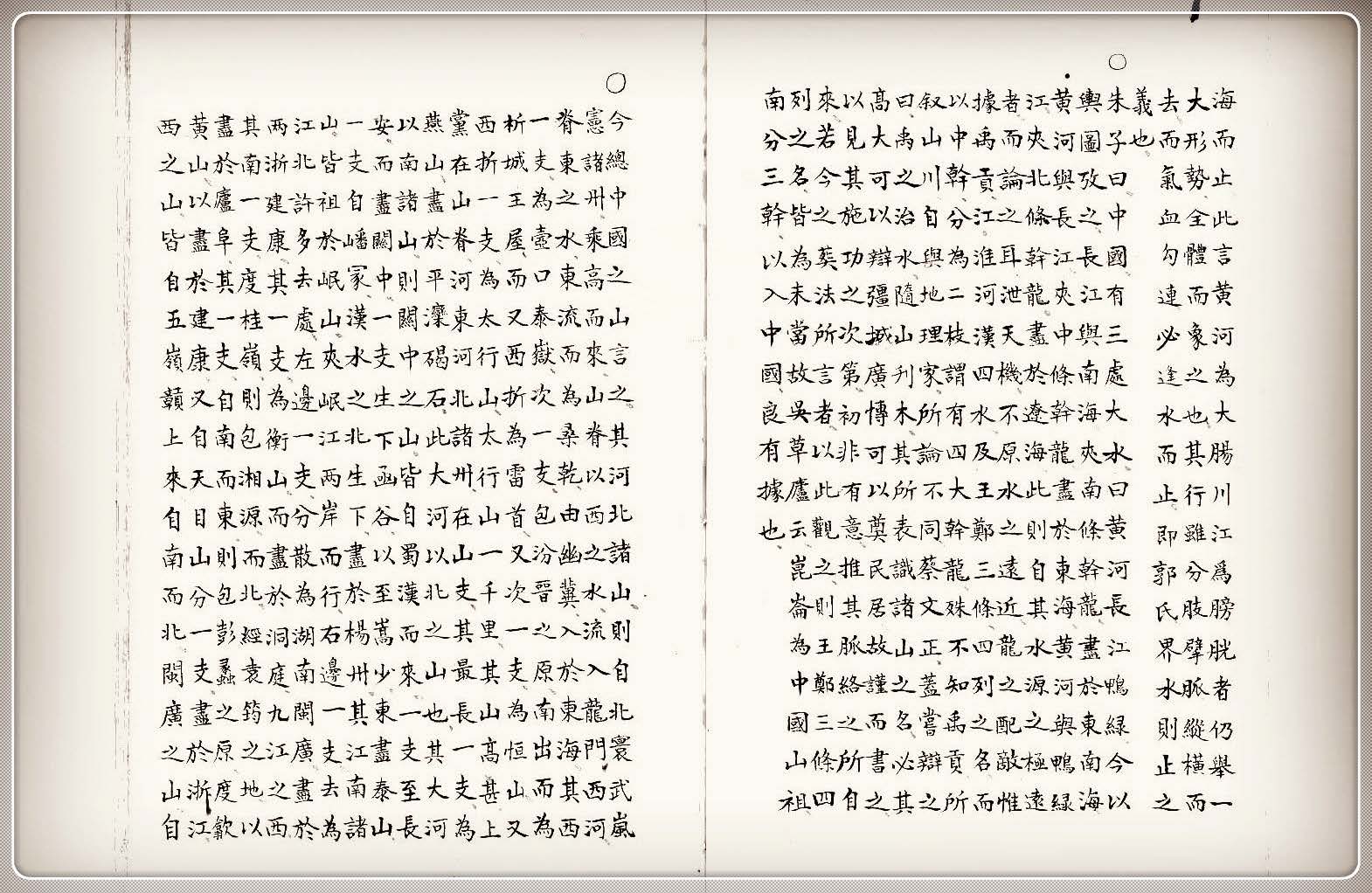
《秘传图注龙经全集》,明万历年间影钞本,唐国师杨筠松正经,宋国师吴景鸾图解,被收录于子部珍本备要第354种。
pdf电子版大小:105MB,合计228个筒子页
查看下载地址:
免责声明:本站所有信息均来源于互联网搜集,并不代表本站观点,本站不对其真实合法性负责。如有信息侵犯了您的权益,请告知,本站将立刻删除。
《秘传图注龙经全集》,明万历年间影钞本,唐国师杨筠松正经,宋国师吴景鸾图解,被收录于子部珍本备要第354种。
pdf电子版大小:105MB,合计228个筒子页
免责声明:本站所有信息均来源于互联网搜集,并不代表本站观点,本站不对其真实合法性负责。如有信息侵犯了您的权益,请告知,本站将立刻删除。